4.4.1 系统设计应遵循节水节能、经济实用、安全简便、便于计量的原则;根据建筑形式、辅助能源种类和热水需求等条件,宜按本规范表 4.2.6 选择太阳能热水系统。
4.4.2 系统集热器总面积计算宜符合下列规定:
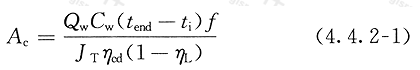
1 直接系统集热器总面积可根据用户的每日用水量和用水温度确定,按下式计算:

式中 Ac——直接系统集热器总面积,m²;
Qw——日均用水量,kg ;
Cw——水的定压比热容,kJ/(kg·℃ ) ;
tend——贮水箱内水的设计温度,℃;
ti——水的初始温度,℃;
JT——当地集热器采光面上的年平均日太阳辐照量, kJ/m² ;
f——太阳能保证率,%;根据系统使用期内的太阳辐照、系统经济性及用户要求等因素综合考虑后确定,宜为30%~80%;
ηcd——集热器的年平均集热效率;根据经验取值宜为 0.25~0.50 ,具体取值应根据集热器产品的实际测试结果而定;
ηL——贮水箱和管路的热损失率;根据经验取值宜为 0.20~0.30 。
2 间接系统集热器总面积可按下式计算:

式中 AIN——间接系统集热器总面积,m²;
FRUL——集热器总热损系数,W/(m²·℃ ) ;
对平板型集热器,FRUL宜取 4~6W/(m²·℃ ) ;
对真空管集热器,FRUL宜取 1~2W/(m²·℃ ) ;
具体数值应根据集热器产品的实际测试结果而定;
Uhx——换热器传热系数, W/(m²·℃ ) ;
Ahx——换热器换热面积,m²。
4.4.3 集热器倾角应与当地纬度一致;如系统侧重在夏季使用,其倾角宜为当地纬度减10°;如系统侧重在冬季使用,其倾角宜为当地纬度加10°;全玻璃真空管东西向水平放置的集热器倾角可适当减少;主要城市纬度见本规范附录A 。
4.4.4 集热器总面积有下列情况,可按补偿方式确定,但补偿面积不得超过本规范第 4.4.2 条计算结果的一倍:
1 集热器朝向受条件限制,南偏东、南偏西或向东、向西时;
2 集热器在坡屋面上受条件限制,倾角与本规范第 4.4.3 条规定偏差较大时。
4.4.5 当按本规范第 4.4.2 条计算得到系统集热器总面积,在建筑围护结构表面不够安装时,可按围护结构表面最大容许安装面积确定系统集热器总面积。
4.4.6 贮水箱容积的确定应符合下列要求:
1 集中供热水系统的贮水箱容积应根据日用热水小时变化曲线及太阳能集热系统的供热能力和运行规律,以及常规能源辅助加热装置的工作制度、加热特性和自动温度控制装置等因素按积分曲线计算确定;
2 间接系统太阳能集热器产生的热用作容积式水加热器或加热水箱时,贮水箱的贮热量应符合表 4.4.6 的要求。
表4.4.6 贮水箱的贮热量

注:Qh为设计小时耗量(W)。
4.4.7 太阳能集热器设置在平屋面上,应符合下列要求:
1 对朝向为正南、南偏东或南偏西不大于 30°的建筑,集热器可朝南设置,或与建筑同向设置。
2 对朝向南偏东或南偏西大于 30°的建筑,集热器宜朝南设置或南偏东、南偏西小于 30°设置。
3 对受条件限制,集热器不能朝南设置的建筑,集热器可朝南偏东、南偏西或朝东、朝西设置。
4 水平放置的集热器可不受朝向的限制。
5 集热器应便于拆装移动。
6 集热器与遮光物或集热器前后排间的最小距离可按下式计算:

式中 D——集热器与遮光物或集热器前后排间的最小距离,m ;
H——遮光物较高点与集热器最低点的垂直距离,m ;
αs——太阳高度角,度 (°) ;
对季节性使用的系统,宜取当地春秋分正午 12 时的太阳高度角;
对全年性使用的系统,宜取当地冬至日正午 12 时的太阳高度角。
7 集热器可通过并联、串联和串并联等方式连接成集热器组,并应符合下列要求:
1) 对自然循环系统,集热器组中集热器的连接宜采用并联。平板型集热器的每排并联数目不宜超过 16 个。
2) 全玻璃真空管东西向放置的集热器,在同一斜面上多层布置时,串联的集热器不宜超过 3 个 ( 每个集热器联集箱长度不大于 2m) 。
3) 对自然循环系统,每个系统全部集热器的数目不宜超过 24 个。大面积自然循环系统,可分成若干个子系统,每个子系统中并联集热器数目不宜超过 24 个。
8 集热器之间的连接应使每个集热器的传热介质流入路径与回流路径的长度相同。
9 在平屋面上宜设置集热器检修通道。
4.4.8 太阳能集热器设置在坡屋面上,应符合下列要求:
1 集热器可设置在南向、南偏东、南偏西或朝东、朝西建筑坡屋面上;
2 坡屋面上的集热器应采用顺坡嵌入设置或顺坡架空设置;
3 作为屋面板的集热器应安装在建筑承重结构上;
4 作为屋面板的集热器所构成的建筑坡屋面在刚度、强度、热工、锚固、防护功能上应按建筑围护结构设计。
4.4.9 太阳能集热器设置在阳台上,应符合下列要求:
1 对朝南、南偏东、南偏西或朝东、朝西的阳台,集热器可设置在阳台栏板上或构成阳台栏板;
2 低纬度地区设置在阳台栏板上的集热器和构成阳台栏板的集热器应有适当的倾角;
3 构成阳台栏板的集热器,在刚度、强度、高度、锚固和防护功能上应满足建筑设计要求。
4.4.10 太阳能集热器设置在墙面上,应符合下列要求:
1 在高纬度地区,集热器可设置在建筑的朝南、南偏东、南偏西或朝东、朝西的墙面上,或直接构成建筑墙面;
2 在低纬度地区,集热器可设置在建筑南偏东、南偏西或朝东、朝西墙面上,或直接构成建筑墙面;
3 构成建筑墙面的集热器,其刚度、强度、热工、锚固、防护功能应满足建筑围护结构设计要求。
4.4.11 嵌入建筑屋面、阳台、墙面或建筑其他部位的太阳能集热器,应满足建筑围护结构的承载、保温、隔热、隔声、防水、防护等功能。
4.4.12 架空在建筑屋面和附着在阳台或墙面上的太阳能集热器,应具有相应的承载能力、刚度、稳定性和相对于主体结构的位移能力。
4.4.13 安装在建筑上或直接构成建筑围护结构的太阳能集热器,应有防止热水渗漏的安全保障设施。
4.4.14 选择太阳能集热器的耐压要求应与系统的工作压力相匹配。
4.4.15 在使用平板型集热器的自然循环系统中,贮水箱的下循环管应比集热器的上循环管高 0.3m 以上。
4.4.16 系统的循环管路和取热水管路设计应符合下列要求:
1 集热器循环管路应有 0.3%~0.5%的坡度;
2 在自然循环系统中,应使循环管路朝贮水箱方向有向上坡度,不得有反坡;
3 在有水回流的防冻系统中,管路的坡度应使系统中的水自动回流,不应积存;
4 在循环管路中,易发生气塞的位置应设有吸气阀;当采用防冻液作为传热工质时,宜使用手动排气阀。需要排空和防冻回流的系统应设有吸气阀;在系统各回路及系统需要防冻排空部分的管路的最低点及易积存的位置应设有排空阀;
5 在强迫循环系统的管路上,宜设有防止传热工质夜间倒流散热的单向阀;
6 间接系统的循环管路上应设膨胀箱。闭式间接系统的循环管路上同时还应设有压力安全阀和压力表,不应设有单向阀和其他可关闭的阀门;
7 当集热器阵列为多排或多层集热器组并联时,每排或每层集热器组的进出口管道,应设辅助阀门;
8 在自然循环和强迫循环系统中宜采用顶水法获取热水。浮球阀可直接安装在贮水箱中,也可安装在小补水箱中;
9 设在贮水箱中的浮球阀应采用金属或耐温高于 100℃的其他材质浮球,浮球阀的通径应能满足取水流量的要求;
10 直流式系统应采用落水法取热水;
11 各种取热水管路系统应按1.0m/s 的设计流速选取管径。
4.4.17 系统计量宜按照现行标准《建筑给水排水设计规范》 GB 50015 中有关规定执行,并应按具体工程设置冷、热水表。
4.4.18 系统控制应符合下列要求:
1 强制循环系统宜采用温差控制;
2 直流式系统宜采用定温控制;
3 直流式系统的温控器应有水满自锁功能;
4 集热器用传感器应能承受集热器的较高空晒温度,精度为±2℃;贮水箱用传感器应能承受 100℃,精度为±2℃。
4.4.19 太阳能集热器支架的刚度、强度、防腐蚀性能应满足安全要求,并应与建筑牢固连接。
4.4.20 太阳能热水系统使用的金属管道、配件、贮水箱及其他过水设备材质,应与建筑给水管道材质相容。
4.4.21 太阳能热水系统采用的泵、阀应采取减振和隔声措施。
条文说明
4.4 系统设计
4.4.1 太阳能热水系统类型的选择是系统设计的首要步骤。只有正确选择了太阳能热水系统的类型,才能使系统设计有可靠的基础。表 4.2.6 “太阳能热水系统设计选用表”是在强调系统设计应本着节水节能、经济实用、安全简便、利于计量等原则的基础上,根据建筑类型、屋面形式和热水用途等条件,选择不同的太阳能热水系统类型。选择内容包括:供热水范围、集热器在建筑上安装位置、'系统运行方式、辅助能源加热设备的安装位置及启动方式等。
在建筑类型中,本条就民用建筑包括的居住建筑和公共建筑两类民用建筑分别列出,其中,居住建筑包括:低层、多层和高层;公共建筑给出了几种实例,如:宾馆、医院、游泳馆和公共浴室等,就是为了便于正确地选择太阳能热水系统类型。
4.4.2 太阳能热水系统集热器面积的确定是一个十分重要的问题,而集热器面积的精确计算又是一个比较复杂的问题。
在欧美等发达,集热器面积的精确计算一般采用 F-Chart 软件、Trnsys 软件或其他类似的软件来进行,它们是根据系统所选太阳能集热器的瞬时效率方程 ( 通过试验测定 ) 及安装位置 ( 方位角和倾角 ) ,再输入太阳能热水系统,使用当地的地理纬度、平均太阳辐照量、平均环境温度、平均热水温度、平均热水用量、贮水箱和管路平均热损失率、太阳能保证率等数据,按一定的计算机程序计算出来的。
然而,我国目前还没有将这种计算软件列入标准内容。本条在标准《太阳能热水系统设计、安装及工程验收技术规范》 GB/T 18713 的基础上,提出了确定集热器总面积的计算方法,其中分别规定了在直接系统和间接系统两种情况下集热器总面积的计算方法。
本规范之所以计算集热器总面积,而不计算集热器采光面积或集热器吸热体面积,是因为在民用建筑安装太阳能热水系统的情况下,建筑师关心的是在有限的建筑围护结构中太阳能集热器究竟占据多大的空间。
在确定直接系统的集热器总面积时,日太阳辐照量 JT取当地集热器采光面上的年平均日太阳辐照量;集热器的年平均集热效率ηcd宜取0.25~0.50 ,但强调具体取值要根据集热器产品的实际测试结果而定;贮水箱和管路的热损失率ηL宜取 0.20~0.30 ,不同系统类型及不同保温状况的ηL 值不同。以上所有这些数值都是根据我国长期使用太阳能热水系统所积累的经验而选取的,都能基本满足实际系统设计的要求。至于太阳能保证率 f 的取值,则是根据系统使用期内的太阳能辐照条件、系统的经济性及用户的具体要求等因素综合考虑后确定,本规范推荐在 30%~80%范围内。
在确定间接系统的集热器总面积时,由于间接系统的换热器内外存在传热温差,使得在获得相同温度的热水情况下,间接系统比直接系统的集热器运行温度稍高,造成集热器效率略为降低。本条用换热器传热系数 Uhx 、换热器换热面积 Ahx 和集热器总热损系数FRUL等来表示换热器对于集热器效率的影响。对平板型集热器,FRUL宜取 4~6W/(m2. ℃ ) ;对于真空管集热器,FRUL宜取 1~2W/(m2. ℃ ) ;但本规范强调FRUL的具体数值要根据集热器产品的实际测试结果而定。至于换热器传热系数 Uhx和换热器换热面积 A hx 的数值,则可以从选定的换热器产品说明书中查得。在实际计算过程中,当确定了直接系统的集热器总面积Ac之后,就可以根据上述这些数值,确定出间接系统的集热器总面积 AIN。
通常在采用第 4.4.2 条所述方法确定集热器总面积之前,也就是在方案设计阶段,可以根据建筑建设地区太阳能条件来估算集热器总面积。表 2 列出了每产生 100L 热水量所需系统集热器总面积的推荐值。
表2 每100L热水量的系统集热器总面积推荐选用值

此处列出的“每 100L 热水量的系统集热器总面积推荐选用值”是将我国各地太阳能条件分为四个等级:资源丰富区、资源较丰富区、资源一般区和资源贫乏区,不同等级地区有不同的年日照时数和不同的年太阳辐照量,再按每产生100L 热水量分别估算出不同等级地区所需要的集热器总面积,其结果一般在 1.2~2.0m2/100L 之间。
4.4.3 根据标准《太阳能热水系统设计、安装及工程验收技术规范》 GB/T 18713 的要求,本条规定了集热器的最佳安装倾角,其数值等于当地纬度±10°。这条要求对于一般情况下的平板型集热器和真空管集热器都是适用的。当然,对于东西向水平放置的全玻璃真空管集热器,安装倾角可适当减少;对于墙面上安装的各种太阳能集热器,更是一种特例了。
4.4.4 在有些情况下,由于集热器朝向或倾角受到条件限制,按 4.4.2 条所述方法计算出的集热器总面积是不够的,这时就需要按补偿方式适当增加面积,但本条规定补偿面积不得超过 4.4.2 条计算所得面积的一倍。
4.4.5 在有些情况下,当建筑围护结构表面不够安装按 4.4.2 条计算所得的集热器总面积时,也可以按围护结构表面最大容许安装面积来确定集热器总面积。
4.4.6 本条规定了贮水箱容积的确定原则,并提出了“贮水箱的贮热量”。表中,贮热量的最小值是分别按大于等于95℃高温水和小于等于 95℃高温水这两种不同情况,分别对公共建筑和居住建筑提出了指标。
4.4.7 本条较为具体地规定了太阳能集热器设置在平屋面上的技术要求,有关集热器的间距、分组及相互连接等内容都是根据现行标准《太阳能热水系统设计、安装及工程验收技术规范》 GB/T 18713 的规定,其中有关集热器并联、串联和串并联等方式连接成集热器组时的具体数据也都是引自 GB/T 18713 。
本条规定全玻璃真空管东西向放置的集热器,在同一斜面上多层布置时,串联的集热器不宜超过 3 个。实际上,各种集热器都应尽量减少串联的集热器数目。
本条规定集热器之间的连接应使每个集热器的传热介质流入路径与回流路径的长度相同,这实质上是规定集热器应按“同程原则”并联,其目的是使各集热器内的流量分配均匀。
4.4.8 本条强调了作为屋面板的集热器应安装在建筑承重结构上,这实际上已构成建筑集热坡屋面。
4.4.11 本条强调了嵌入建筑屋面、阳台、墙面或建筑其他部位的太阳能集热器,应具有建筑围护结构的承载、保温、隔热、隔声、防水等防护功能。
4.4.12 本条强调了架空在建筑屋面和附着在阳台上或在墙面上的太阳能集热器,应具有足够的承载能力、刚度、稳定性和相对于主体结构的位移能力。
4.4.13 为了保障太阳能热水系统的使用安全,本条特别强调了安装在建筑上或直接构成建筑围护结构的太阳能集热器,应有防止热水渗漏的安全保障设施,防止因热水渗漏到屋内而危及人身安全,并作为本规范的强制性条款。
4.4.15 在使用平板型集热器的自然循环系统中,系统是仅利用传热工质内部的温度梯度产生的密度差进行循环的,因此为了保证系统有足够的热虹吸压头,规定贮水箱的下循环管比集热器的上循环管至少高 0.3m 是必要的。
4.4.17 对于系统计量的问题,本条要求按照标准《建筑给水排水设计规范》 GB 50015 中的有关规定,并推荐按具体工程设置冷、热水表。
4.4.18 对于系统控制,可以有各种不同的控制方式,但根据我国长期使用太阳能热水系统所积累的经验,本条推荐:强制循环系统宜采用温差控制方式;直流式系统宜采用定温控制方式。
4.4.19 本条强调了太阳能集热器支架的刚度、强度、防腐蚀性能等,均应满足安全要求,并与建筑牢固连接。当采用钢结构材料制作支架时,应符合现行标准《碳素结构钢》 GB/T 700 的要求。在不影响支架承载力的情况下,所有钢结构支架材料 ( 如角钢、方管、槽钢等 ) 应选择利于排水的方式组装。当由于结构或其他原因造成不易排水时,应采取合理的排水措施,确保排水通畅。
4.4.20 本条强调了太阳能热水系统使用的金属管道、配件、贮水箱及其他过水设备等的材质,均应与建筑给水管道材质相容,以避免在不相容材料之间产生电化学腐蚀。
4.4.21 本条强调了对太阳能热水系统所用泵、阀运行可能产生的振动和噪声,均应采取减振和隔声措施。