设函数在点x=1处取得极值,试求: (1)常数a,b的值;(2)曲线y=f(x)的凹凸区间与拐点;(3)曲线y=f(x)的水平渐近线和垂直渐近线.
【考点】本题考查一元函数微分学及其应用-中值定理及导数的应用-导数的应用
【希赛点拨】
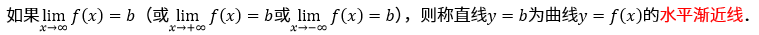
曲线的水平渐近线与垂直渐近线水平渐近线:
垂直渐近线:
扫描微信二维码,添加您的专属老师为好友
您在考试中遇到任何问题,老师都会帮您解答
您希望我们通过哪种方式与您联系?
您已选择电话/微信/QQ的联系方式,课程顾问会尽快联系您!
您已选择微信联系方式,课程顾问会尽快添加您的微信,请您确认通过!
您已选择QQ联系方式,课程顾问会尽快添加您的QQ,请您确认通过!
您已选择电话联系方式,课程顾问会尽快联系您!
您已选择“不联系”,课程顾问不会主动联系您。如果后续您有需求,可以在个人中心主动添加销售微信或拨打客服电话:400-111-9811