求函数的导数.
【考点】本题考查一元函数微分学及其应用-导数与微分-函数的求导法则-复合函数的求导法则
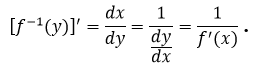
【希赛点拨】复合函数的求导法则如果函数u=u(x)在点x处可导,函数y=f(u)在对应点u处可导,则复合函数y=f[u(x)]在点x处可导,且有也可记为推论(1)设y=f(x)具有单调、连续的反函数,则有
扫描微信二维码,添加您的专属老师为好友
您在考试中遇到任何问题,老师都会帮您解答
您希望我们通过哪种方式与您联系?
您已选择电话/微信/QQ的联系方式,课程顾问会尽快联系您!
您已选择微信联系方式,课程顾问会尽快添加您的微信,请您确认通过!
您已选择QQ联系方式,课程顾问会尽快添加您的QQ,请您确认通过!
您已选择电话联系方式,课程顾问会尽快联系您!
您已选择“不联系”,课程顾问不会主动联系您。如果后续您有需求,可以在个人中心主动添加销售微信或拨打客服电话:400-111-9811