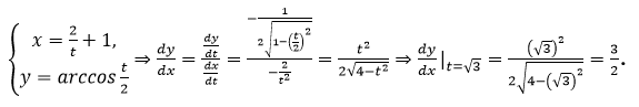
已知曲线y=y(x)是由参数方程确定的,则=_____.
【考点】本题考查一元函数微分学及其应用-导数与微分-隐函数及由参数方程所确定的函数求导法-由参数方程所确定的函数的导数【解题思路】由【希赛点拨】
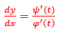
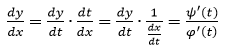
设y与x的函数关系是由参数方程确定的,则称此函数关系表达式的函数为由参数方程确定的函数.其导数,即或.
扫描微信二维码,添加您的专属老师为好友
您在考试中遇到任何问题,老师都会帮您解答
您希望我们通过哪种方式与您联系?
您已选择电话/微信/QQ的联系方式,课程顾问会尽快联系您!
您已选择微信联系方式,课程顾问会尽快添加您的微信,请您确认通过!
您已选择QQ联系方式,课程顾问会尽快添加您的QQ,请您确认通过!
您已选择电话联系方式,课程顾问会尽快联系您!
您已选择“不联系”,课程顾问不会主动联系您。如果后续您有需求,可以在个人中心主动添加销售微信或拨打客服电话:400-111-9811