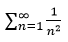
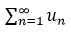
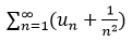
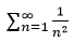
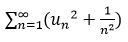
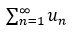
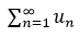
已知收敛,则下列级数收敛的是( ).
D
【考点】本题考查无穷级数-常数项级数-常数项级数的审敛法-正项级数及其审敛法【解题思路】令,因为收敛,而发散,所以选项A错误;由比较判别法的极限形式推论可知发散,而级数收敛,所以发散,选项B错误;也发散,选项C错误;选项D:由判别法的极限形式推论可知级数收敛,且级数收敛,所以级数收敛.故本题选D.【希赛点拨】
扫描微信二维码,添加您的专属老师为好友
您在考试中遇到任何问题,老师都会帮您解答
您希望我们通过哪种方式与您联系?
您已选择电话/微信/QQ的联系方式,课程顾问会尽快联系您!
您已选择微信联系方式,课程顾问会尽快添加您的微信,请您确认通过!
您已选择QQ联系方式,课程顾问会尽快添加您的QQ,请您确认通过!
您已选择电话联系方式,课程顾问会尽快联系您!
您已选择“不联系”,课程顾问不会主动联系您。如果后续您有需求,可以在个人中心主动添加销售微信或拨打客服电话:400-111-9811