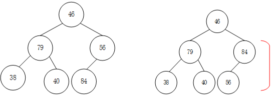
排序码为{46, 79, 56, 38, 40, 84} , 用堆建的初始堆为( )。
B
【考点】本题考查建堆【解析】将待排序的数据看作一棵完全二叉树,将第一个数据作为二叉树的根,从左至右依次填充二叉树。① 重建堆:将根节点46移出作为待调整节点,然后对根节点的左右子树重建堆。根据得出的树图来看左子树不变,右子树84和56交换位置。② 从84和79选择较大的84同待调整的46做比较,将84上移到根节点。③ 将56和待调整的46做比较,56比46大,46移到56位置处。
故本题选B。
扫描微信二维码,添加您的专属老师为好友
您在考试中遇到任何问题,老师都会帮您解答
您希望我们通过哪种方式与您联系?
您已选择电话/微信/QQ的联系方式,课程顾问会尽快联系您!
您已选择微信联系方式,课程顾问会尽快添加您的微信,请您确认通过!
您已选择QQ联系方式,课程顾问会尽快添加您的QQ,请您确认通过!
您已选择电话联系方式,课程顾问会尽快联系您!
您已选择“不联系”,课程顾问不会主动联系您。如果后续您有需求,可以在个人中心主动添加销售微信或拨打客服电话:400-111-9811