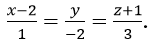
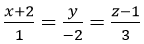
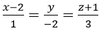
过点,且垂直于平面的直线方程是( ).
A
【考点】本题考查向量代数与空间解析几何-平面与直线-直线方程【解题思路】由平面方程可知平面的法向量为n=(1,-2,3),因为直线与该平面垂直,所以该直线的方向向量可取s=(1,-2,3),又该直线过点p0 (2,0,-1),故所求直线方程为故本题选A.【希赛点拨】直线与平面的位置关系可转化为方向向量与法向量的位置关系.
扫描微信二维码,添加您的专属老师为好友
您在考试中遇到任何问题,老师都会帮您解答
您希望我们通过哪种方式与您联系?
您已选择电话/微信/QQ的联系方式,课程顾问会尽快联系您!
您已选择微信联系方式,课程顾问会尽快添加您的微信,请您确认通过!
您已选择QQ联系方式,课程顾问会尽快添加您的QQ,请您确认通过!
您已选择电话联系方式,课程顾问会尽快联系您!
您已选择“不联系”,课程顾问不会主动联系您。如果后续您有需求,可以在个人中心主动添加销售微信或拨打客服电话:400-111-9811