|1-x|-√(x2-8x+16)=2x-5.(1)x≥1(2)x<3
C
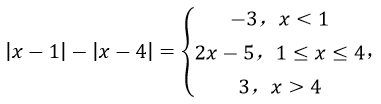
本题考查的是绝对值问题。当x-1>0,x-4>0⟹x>4⟹|x-1|-|x-4|=x-1-(x-4)=3;;当x-1≥0,x-4≤0⟹1≤x≤4⟹|x-1|-|x-4|=x-1+(x-4)=2x-5;;当x-1<0,x-4<0⟹ x<1⟹|x-1|-|x-4|=-(x-1)+(x-4)=-3;;当1≤x≤4时,结论成立,故条件(1)和条件(2)单独不充分,联合两个条件充分。
扫描微信二维码,添加您的专属老师为好友
您在考试中遇到任何问题,老师都会帮您解答
您希望我们通过哪种方式与您联系?
您已选择电话/微信/QQ的联系方式,课程顾问会尽快联系您!
您已选择微信联系方式,课程顾问会尽快添加您的微信,请您确认通过!
您已选择QQ联系方式,课程顾问会尽快添加您的QQ,请您确认通过!
您已选择电话联系方式,课程顾问会尽快联系您!
您已选择“不联系”,课程顾问不会主动联系您。如果后续您有需求,可以在个人中心主动添加销售微信或拨打客服电话:400-111-9811