题库
案例题

假设主机A向主机B以存储-转发的分组交换方式发送了1个大小为5MB的文件,而且网络中没有其他流量。主机A到达主机B只有一条由3段链路组成的路径,3段链路的速率分别是R1=1Mbit/s,R2=5Mbit/R3=2Mbit/s。试完成如下计算(要求写出计算过程):

(1)理想情况下传送该文件的吞吐量。
(2)理想情况下该文件从主机A到达主机B需要的时间。
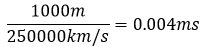
(3)假设第1段链路的长度是1000m,计算从主机A发送该文件的传播时延及该文件在第1段链路上的传输时延。
(注:信号在链路上的传播速率V=250000km/s,1k=10',1M=10°)。

参考答案: 查看答案 查看解析 APP刷题
相关知识点试题
相关试卷
咨询
咨询客服
咨询客服