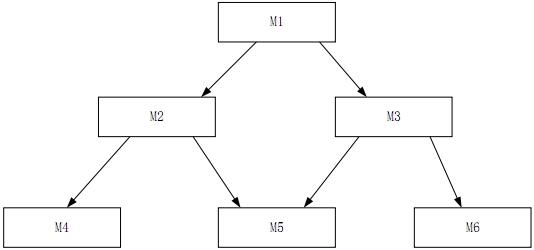
在信息系统的组装测试中,模块自顶向下的组合方式如下图所示,按照先深度后宽度的增量测试方法,测试顺序为 ()。
A
本题考查的是组装测试的基本知识。 组装测试也被称为集成测试。通常组装测试有两种方法:非增量式集成和增量式集成。增量式测试技术有自顶向下和自底向上的增量测试方法。而自顶向下的增量方式是模块按照程序的控制结构,从上到下的组合方式,在增加测试模块时有先深度后宽度和先宽度后深度两种次序。先深度后宽度的方法是把程序结构中的一条路径上的模块相组合,上图的测试顺序是M1→M2→M4→M3→M5→M6。
扫描微信二维码,添加您的专属老师为好友
您在考试中遇到任何问题,老师都会帮您解答
您希望我们通过哪种方式与您联系?
您已选择电话/微信/QQ的联系方式,课程顾问会尽快联系您!
您已选择微信联系方式,课程顾问会尽快添加您的微信,请您确认通过!
您已选择QQ联系方式,课程顾问会尽快添加您的QQ,请您确认通过!
您已选择电话联系方式,课程顾问会尽快联系您!
您已选择“不联系”,课程顾问不会主动联系您。如果后续您有需求,可以在个人中心主动添加销售微信或拨打客服电话:400-111-9811