题库
案例题
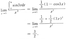
参考答案: 查看答案 查看解析 APP刷题
相关知识点试题
相关试卷
咨询
咨询客服
咨询客服